自然常数e(也叫自然底数、自然对数的底、Euler数、Napier常数……)的本质,是“单位循环模”。概念之一:常数e的含义是单位时间内,持续的翻倍增长所能达到的极限值。
自然对数的底e是由一个重要极限给出的。我们定义:当n趋于无穷大时,e是一个无限不循环小数,其值约等2.718281828459…,它是一个超越数。以下这个极限公式也是e的定义之一。

e这个数字之所以非常特殊,在于三点:
以e为底的对数ln(x)的导数是1/x。
它的指数函数e^x是唯一一个除零函数外与自身导数相等的函数。
欧拉公式,即e^(i*pi)+1 = 0。
所以说很多时候,以e为底的对数和e的指数函数会有一些特殊的性质,在自然科学中有很多的应用。
我认为这里的“自然”指的是“自然科学”,而不是“自然界”
欧拉公式:

这个恒等式也叫做欧拉公式,它是数学里最令人着迷的一个公式,它将数学里最重要的几个数字联系到了一起:两个超越数:自然对数的底e,圆周率π;两个单位:虚数单位i和自然数的单位1;以及被称为人类伟大发现之一的0。数学家们评价它是“上帝创造的公式”。
e,作为数学常数,是自然对数函数的底数。有时称它为欧拉数,以瑞士数学家欧拉命名;也有个较鲜见的名字纳皮尔常数,以纪念苏格兰数学家约翰·纳皮尔引进对数。它就像圆周率π和虚数单位i,e是数学中最重要的常数之一。e的数值约为(小数点后100位):“e ≈ 2.71828 18284 59045 23536 02874 71352 66249 77572 47093 69995 95749 66967 62772 40766 30353 54759 45713 82178 52516 64274”。
e本身不过是一个数字,重要的是指数函数, 常系数线性微分方程可以用多个指数函数叠加(虚指数函数表现为三角函数)来求解。
自然常数e(也叫自然底数、自然对数的底、Euler数、Napier常数……)的本质,是“单位循环模”。至于其数值(2.71828),那不过是它在十进制计数法下的表象(若是二进制,则是10.10110;若是四进制,则是2.23133;若是八进制,则是2.55760;若是十六进制,则是2.b7e13……)。
“单位循环模”是“归一化对偶分解&合成”,即:恒等对偶分解&合成(对偶分解/微分&合成/积分的结果保持不变)。如:投影的投影不改变投影(正交分解的正交分解不改变正交分解)、幂等变换(海岸线的分形仍是海岸线)、具有操作不变性的操作(我怕我爸,我爸怕我爷,我爷怕我太爷)、流形的Killing矢量场、李群的李代数、李代数的左不变矢量场LIVF……
自然常数e是“单位循环模”。凡是内蕴了“单位循环模”特征的事物,都可以用e来建模,就是说:凡是兼具“个体增长稳定性(上同调)”和“群体增长收敛性(同调)”的事物,都可以用e来建模,即:指数族分布EFD(Exponential FamilyOf Distributions)(如:Gauss分布、Bernoulli分布、二项分布、Poisson分布、Beta分布、Dirichlet函数、Gamma函数……)。
自然常数e的数值(2.71828)只是“单位循环模”在数域(Number Field)的表象,其本质是“恒等对偶分解&合成”。该现象是Leonhard Euler在267年前发现的(1752年),他把它概括为“Euler恒等式(Euler’s Formula)”。其中:e表示“对偶分解&合成”,pi表示“循环模”和“自由模”的关联,虚数符号i表示“映射关系”,数字1表示“恒等映射”。
Euler在构造“Euler恒等式”时,完全不在乎e和pi的数值是多少,更不在乎它俩叫什么(自然常数?or自然底数?圆周率?or圆周比?),他只关心怎样把该发现(恒等对偶分解&合成)精确、清晰、简洁地表达出来。他做到了。
自然常数e之所以“自然natural”,是因为“恒等对偶分解&合成”是许多自然动态系统(菌群生长、银行复利、高压气旋、行星轨道、客服系统……)的内生特征,这些自然动态系统是兼具“生长性”和“稳定性”的“对偶系统(Dual System)”。
Euler发明的“自然常数e”,是数学概念,更像物理概念。其中蕴含的对偶思想,成为成就此后众多数理发现的火种。Euler之前有伟大的Galileo、Newton、Leibniz……他之后有伟大的Gauss、Galois、Cauchy……
这里以一个银行存款的例子简单描述一下:
我们在银行存款是有利息的,而存款赚到的利息又可以继续和本金一起,赚取更多的利息。当然,银行不是慈善家,它们结算利息的频率很低,要每一年甚至三年才结算一次,也就是说,在这一年或者三年的时间里,已经获得的利息并不能帮我们赚取更多利息。
下面考虑一种理想状况,也就是假定有这样一家银行,它一年的存款利率是100% (简记为1),并允许我们自由选择结算利息的次数。如果我们存入银行1块钱,那么我们一年最多能够赚多少钱呢? (1) 如果只在年底结算一次利息,由于一年的利率是1,那么一年后我们可以连本带利得到2块钱。

(2) 如果我们要求每半年就结算一次利息,由于半年的利率是1/2,那么一年后我们可以连本带利得到2.25块钱。

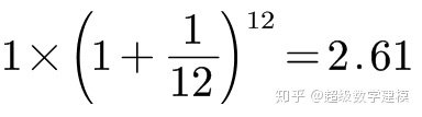
(3) 如果我们要求每一个月就结算一次利息,由于一个月的利率是1/12,那么一年后我们可以连本带利得到2.61块钱。

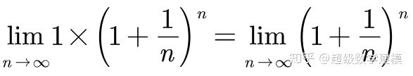
(4) 可以看到,利息结算次数越多,年底获得的收入也就越多。如果我们脑洞大开,要求银行时时刻刻为我们结算利息,也就是说结算利息的次数为无数次,那么我们能否得到无穷无尽的收入,实现数钱数到手抽筋的梦想呢?

很遗憾,这个是不可能的!因为我们最终获得的收入其实就是下面这个式子,

而数学家的计算已经表明,这个式子的值其实是有限的,其大小为2.718281828…,是一个无限不循环小数,为了使用方便,我们就用e来代表它。所以,e就是复利的极限,或者更广义地说,应该是增长的极限。
