问问十五

  • 网站首页
  • 百科知识
  • 百科问答
  • 生活百科
位置:首页> 生活百科>

γ是什么符号啊?

时间:2026-02-27 08:45:00 浏览:828次

“Γ”是第三个希腊字母,读做“伽马”,小写为“γ”。

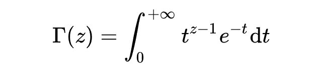
用于数学函数符号时,特指伽玛函数(Gamma函数),也叫欧拉第二积分,是阶乘函数在实数与复数上扩展的一类函数。

在实数域上伽玛函数定义为:

γ是什么符号啊?

在复数域上伽玛函数定义为:

γ是什么符号啊?

标签:符号

相关文章

符号“°”怎么打出来?

符号“°”怎么打出来?

符号123456怎么写

符号123456怎么写

热门文章

  • 网络用语打豆豆含义 网络用语打豆豆是什么意思

    网络用语打豆豆含义 网络用语打豆豆是什么意思

    11-12 1197次
  • 小姐牌是什么?

    小姐牌是什么?

    11-08 1184次
  • 电视剧画皮2演员表

    电视剧画皮2演员表

    01-09 1173次
  • 小叔,啵一个,全文+番外

    小叔,啵一个,全文+番外

    01-14 1133次
  • porenhub官网是什么意思啊?

    porenhub官网是什么意思啊?

    01-01 1079次
  • 《灿烂研修医》观后感

    《灿烂研修医》观后感

    12-21 1068次

推荐文章

马杀鸡是什么意思

马杀鸡是什么意思

元宵古诗

元宵古诗

老板电器李天责多大

老板电器李天责多大

开始很抗拒慢慢的就不会了反而会去迎合他,这是为什么?

开始很抗拒慢慢的就不会了反而会去迎合他,这是为什么?

84消毒液是什么?

84消毒液是什么?

“寿”字可以加什么偏旁?

“寿”字可以加什么偏旁?

固步自封什么意思

固步自封什么意思

children是什么意思

children是什么意思

海棠线上文学城怎么进入微博

海棠线上文学城怎么进入微博

郓怎么读

郓怎么读

一个有趣的生活百科知识问答平台,分享各种小常识、生活小窍门大全、小技巧、小妙招、健康小知识问答等相关小常识,为用户提供工作生活过程中的各种问题解答。

CopyRight © 2025 网站地图 - 闽ICP备2025116981号-2 - 联系邮箱:1465333496@qq.com