问问十五

  • 网站首页
  • 百科知识
  • 百科问答
  • 生活百科
位置:首页> 生活百科>

THD是什么意思啊?

时间:2026-01-03 09:52:00 浏览:844次

  一、THD基本定义公式:

  THD的基本定义是功率比例关系,各次谐波功率值和与基波功率之比的百分比表示

  THD是什么意思啊?

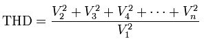
  二、THD等效关系公式:

  THD是什么意思啊?

  三、THD近似测量公式:

  THD是什么意思啊?

标签:THD

相关文章

THD是什么意思

THD是什么意思

热门文章

  • 网络用语打豆豆含义 网络用语打豆豆是什么意思

    网络用语打豆豆含义 网络用语打豆豆是什么意思

    11-12 1088次
  • 三国杀关于鬼龙斩月刀

    三国杀关于鬼龙斩月刀

    11-14 973次
  • 小姐牌是什么?

    小姐牌是什么?

    11-08 956次
  • www.pingan.com efuwu我有保单号如何查询?

    www.pingan.com efuwu我有保单号如何查询?

    10-31 954次
  • 杨一展微博(分享生活点滴)

    杨一展微博(分享生活点滴)

    10-24 949次
  • 皮物系列是什么意思?

    皮物系列是什么意思?

    11-03 947次

推荐文章

风波亭里满江红解一生肖

风波亭里满江红解一生肖

时间节点是指什么

时间节点是指什么

同中有异,异中求同的意思是

同中有异,异中求同的意思是

揭晓的意思。

揭晓的意思。

什么是文艺青年?

什么是文艺青年?

刺挠是什么意思

刺挠是什么意思

金融产品有哪些

金融产品有哪些

ti9奖金(dota2历史最高奖金之一)

ti9奖金(dota2历史最高奖金之一)

九辆车打一字

九辆车打一字

什么是PTF?

什么是PTF?

一个有趣的生活百科知识问答平台,分享各种小常识、生活小窍门大全、小技巧、小妙招、健康小知识问答等相关小常识,为用户提供工作生活过程中的各种问题解答。

CopyRight © 2025 网站地图 - 闽ICP备2025116981号-2 - 联系邮箱:1465333496@qq.com