67是66与68之间的自然数,是一个奇数、质数。奇数(英文:odd),又称单数, 整数中,能被2整除的数是偶数,不能被2整除的数是奇数,奇数的个位为1,3,5,7,9。偶数可用2k表示,奇数可用2k+1表示,这里k就是整数。

扩展资料:
数字分好几种,阿拉伯数字是最普遍的一种。阿拉伯数字并不是阿拉伯人发明的而是印度人发明的,实际应该列为印度语言,只是先传播到阿拉伯,然后传向世界的,所以称之为“阿拉伯数字”。数字是一种用来表示数的书写符号。不同的记数系统可以使用相同的数字。
在整数中,不能被2整除的数叫做奇数。日常生活中,人们通常把奇数叫做单数,它跟偶数是相对的。 奇数可以分为正奇数和负奇数。奇数的数学表达形式为:

正奇数:1、3、5、7、9、11、13、15、17、19、21、23、25、27、29、31、33.........
负奇数:-1、-3、-5、-7、-9、-11、-13、-15、-17、-19、-21、-23.-25、-27、-29、-31、-33.........
奇数列
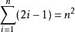
数列:1,3,5,7,9,…… ,2n-1,... 称为奇数列,通项公式为
。它有一个优美的性质:n取任何正整数时,它的前n项和均是一个完全平方数,即

奇数列也可从另一角度进行表述:若
,
,当
时,都有
,则数列
为奇数列。
自然数用以计量事物的件数或表示事物次序的数。即用数码0,1,2,3,4,……所表示的数。表示物体个数的数叫自然数,自然数由0开始,一个接一个,组成一个无穷的集体。自然数有有序性,无限性。分为偶数和奇数,合数和质数等。
自然数是一切等价有限集合共同特征的标记。
注:整数包括自然数,所以自然数一定是整数,且一定是非负整数。
但相减和相除的结果未必都是自然数,所以减法和除法运算在自然数集中并不总是成立的。用以计量事物的件数或表示事物次序的数 。 即用数码0,1,2,3,4,……所表示的数 。表示物体个数的数叫自然数,自然数一个接一个,组成一个无穷集体。
自然数集有加法和乘法运算,两个自然数相加或相乘的结果仍为自然数,也可以作减法或除法,但相减和相除的结果未必都是自然数,所以减法和除法运算在自然数集中并不是总能成立的。
自然数是人们认识的所有数中最基本的一类,为了使数的系统有严密的逻辑基础,19世纪的数学家建立了自然数的两种等价的理论:自然数的序数理论和基数理论,使自然数的概念、运算和有关性质得到严格的论述。
参考资料: 奇数-百度百科
