这是手机工作制式。
CDMA (Code Division Multiple Access) 又称码分多址,是在无线通讯上使用的技术,CDMA 允许所有的使用者同时使用全部频带(1.2288Mhz),并且把其他使用者发出的讯号视为杂讯,完全不必考虑到讯号碰撞 (collision) 的问题。 CDMA的优点包括: CDMA中所提供的语音编码技术,其通话品质比目前的GSM好,而且可以把用户对话时周围环境的噪音降低,使通话更为清晰。
目前电信的是这个的。联通和移动都是gsm,这些都还是2G
概述
由于CDMA体制具有抗认为干扰、抗窄带干扰、抗多径干扰、抗多径延迟扩展的能力,同时具有提高蜂窝系统的通信容量和便于模拟与数字体制的共存与过渡等优点,使得CDMA数字蜂窝系统成为TDMA数字蜂窝系统的强有力的竞争对手。
IS-95 CDMA 和 cdma2000 1x [1] 蜂窝系统为两种典型的CDMA系统,其相应的工作频带为
上行(移动台发,基站收)870~894MHz
下行(基站发,移动台收)825~849MHz
双工间隔为45MHz。
应用蜂窝结构的IS-95 CDMA 和cdma 2000-1x系统采用码分多址接入技术,载频间隔为1.23MHz,码片速率为1.2288Mchip/s,每个小区可采用相同的载波频率,即频率复用因子为1.
通信原理
CDMA [2] 通信系统中,不同用户传输信息所用的信号不是靠频率不同或时隙不同来区分,而是用各自不同的编码序列来区分,或者说,靠信号的不同波形来区分。如果从频域或时域来观察,多个CDMA信号是互相重叠的。
图1 CDMA
接收机用相关器可以在多个CDMA信号中选出其中使用预定码型的信号。其它使用不同码型的信号因为和接收机本地产生的码型不同而不能被解调。它们的存在类似于在信道中引入了噪声和干扰,通常称之为多址干扰。
在CDMA蜂窝通信系统中,用户之间的信息传输是由基站进行转发和控制的。为了实现双工通信,正向传输和反向传输各使用一个频率,即通常所谓的频分双工。无论正向传输或反向传输,除去传输业务信息外,还必须传送相应的控制信息。为了传送不同的信息,需要设置相应的信道。但是,CDMA通信系统既不分频道又不分时隙,无论传送何种信息的信道都靠采用不同的码型来区分。类似的信道属于逻辑信道,这些逻辑信道无论从频域或者时域来看都是相互重叠的,或者说它们均占用相同的频段和时间。
1.扩频原理
扩频原理框图下图所示。由图可见,发射端是将待传输的信息码a(t)经编码后,先对伪随机码c(t)进行扩频调制,然后再对射频进行调制,得到输出信号为:
s(t)=b(t)c(t)
式中:c(t)的速率(chip/s)为Rc,b(t)的速率(bit/s)为Rb。通常Rc远大于Rb,因而调制后的扩频信号带宽主要取决于c(t)带宽。
图2 扩频原理框图
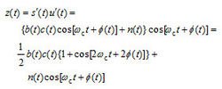
信号通过无线传输后,将会受到噪声和其他信号的干扰。因此,接收端所收到的信号除有用信号外,还包含有干扰信号。即:

式中n(t)为噪声和干扰信号的总和。
接收机接收到的信号先用相干载波进行解调。

z(t)经宽带(带宽约为码片速率)滤波后,得:

并将G(t)与本地伪随机码c′(t)相乘,即进行解扩处理。因c′(t)与发端的c(t)码完全一致,所以输出信号V0(t)再经基带滤波器,基带滤波器的带宽为信号b(t)的带宽,远小于解扩之前的宽带滤波器带宽,而还是宽带信号,经基带滤波后就只剩下很小一部分噪声功率。处理后为,其信号功率不变。所以解扩输出的信噪比要比解扩输入的信噪比大得多。再经解码器,就恢复成原始信号。
图3 IS-136数字蜂窝系统的时隙结构
图4 扩频信号接收解扩框图
2.扩频系统对噪声和干扰的抑制能力
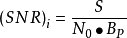
扩展频谱系统引入“处理增益”GP的概念来衡量对噪声和干扰的抑制能力,GP定义为接收机解扩器输出信噪比与输入信噪比之比,即:

越大,则抗干扰性能越强。
扩频系统有如下的抗噪声和抗干扰性能:
首先,扩频系统具有较强的抗白噪声性能。由于白噪声的功率谱是均匀分布在整个频率范围内,经解扩器后,其噪声功率谱密度分布不变,而信号经过相关解扩后,却变为窄带信号,但信号功率不变。我们可以用一个窄带滤波器排除带外的噪声,于是窄带内的信噪比就大大提高了。
若白噪声功率谱密度为N0,则解扩器的输入信噪比和输出信噪比分别为

和

式中:BP为扩频后(解扩前)信号所占有的带宽;Bm为扩频前(解扩后)信号所占有的带宽。于是有:

该式说明扩频系统对白噪声干扰的处理增益等于扩频后信号所占的带宽BP(或信息速率RP)与扩频前信号所占的带宽Bm(或信息速率Rm)之比。
其次,扩频系统具有抗单频和窄带干扰能力。单频干扰是一条线谱,经过相关解扩后,线谱被扩展为BP宽的功率谱,这时通过带通滤波器的干扰功率仅为输入干扰功率的Bm/BP倍。所以,处理增益同样为

扩频系统还具有抗宽带干扰性能。宽带干扰是指那些所占频带与扩频信号频带可以相比拟的信号,如多径干扰和多址干扰信号。由于这些干扰信号对有用信号是不相关的,经解扩后能量有所分散,不能像有用信号那样成为窄带信号。如果干扰信号的频谱足够宽时,则处理增益与白噪声的处理增益相同,即:

