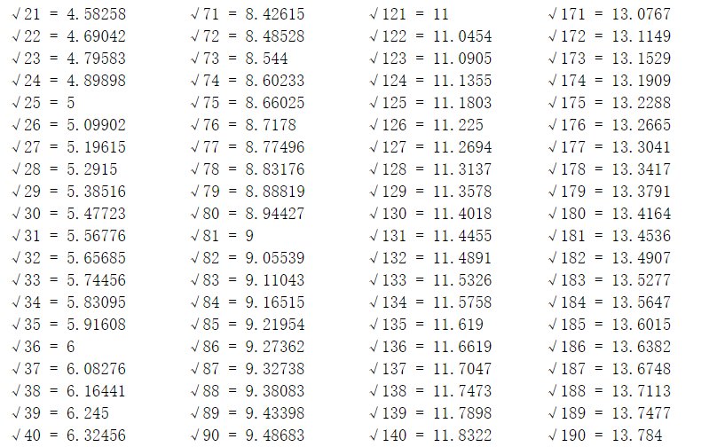
数学1-200根号表如下

第二张

第三张

根号是一个数学符号。根号是用来表示对一个数或一个代数式进行开方运算的符号。若aⁿ=b,那么a是b开n次方的n次方根或a是b的1/n次方。开n次方手写体和印刷体用表示,被开方的数或代数式写在符号左方√ ̄的右边和符号上方一横部分的下方共同包围的区域中,而且不能出界。
有时候被开方数的项数较多,为了避免混淆,笛卡尔就用一条横线把这几项连起来,前面放上根号√ ̄(不过,它比路多尔夫的根号多了一个小钩)就为现时根号形式。
立方根符号出现得很晚,一直到十八世纪,才在一书中看到符号 的使用,比如25的立方根用 表示。以后,诸如√ ̄等等形式的根号渐渐使用开来。
扩展资料:
根号非负性,在实数范围内
(1)偶次根号下不能为负数,其运算结果也不为负。
(2)奇次根号下可以为负数。
不限于实数,即考虑虚数时,偶次根号下可以为负数,利用【i=√-1】即可
