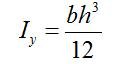
矩形截面的惯性矩有无数个,在不同的方向有不同的数值,假设截面的宽和高分别为b和h,那只能代表:

在两条轴上,矩形面对y轴的惯性矩:

矩形面对z轴的惯性矩:

仅此而已,在计算的时候得根据杆的受力情况,确定使用哪一个惯性矩的值。
矩形惯性矩是利用定积分进行求解的,与高中的知识无关,运用的是大学微积分的知识。
惯性矩定义即:面积元素dA与其至z轴或y轴距离平方的乘积y²dA或z²dA,分别称为该面积元素对于z轴或y轴的惯性矩或截面二次轴矩。惯性矩的数值恒大于零.
参考资料:百度百科-截面惯性矩
矩形截面的惯性矩有无数个,在不同的方向有不同的数值,假设截面的宽和高分别为b和h,那只能代表:

在两条轴上,矩形面对y轴的惯性矩:

矩形面对z轴的惯性矩:

仅此而已,在计算的时候得根据杆的受力情况,确定使用哪一个惯性矩的值。
矩形惯性矩是利用定积分进行求解的,与高中的知识无关,运用的是大学微积分的知识。
惯性矩定义即:面积元素dA与其至z轴或y轴距离平方的乘积y²dA或z²dA,分别称为该面积元素对于z轴或y轴的惯性矩或截面二次轴矩。惯性矩的数值恒大于零.
参考资料:百度百科-截面惯性矩