V=(1/3)H(S上+S下+√[S上×S下])
H为高,S表示面积
上面这两个公示已经足够了,但是如果你想要更深入的了解这个问题,你可以参考:
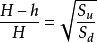
棱台的体积取决于两底面之间的距离(棱台的高),以及原来棱锥的体积。设h为棱台的高,
和
为棱台的上下底面积,V为棱台的体积。由于棱台是由一个平面截去棱锥的一部分(也就是和原来棱锥相似的一个小棱锥)得到,所以计算体积的时候,可以先算出原来棱锥的体积,再减去和它相似的小棱锥的体积。棱锥被平行于底面的平面所截时,截面的面积与底面面积的比,等于小棱锥和原棱锥的高的比的平方。假设原棱锥的高是H,那幺小棱锥的高是H-h。也就是说:

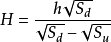
所以:

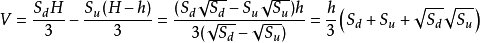
棱台的体积等于原棱锥体积减去小棱锥的体积:

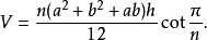
对于正棱锥,假设它的底面是正n边形,边长分别为a和b,高是h,那么底面积是:

所以它的体积是:

参考资料
棱台_百度百科:https://baike.baidu.com/item/%E6%A3%B1%E5%8F%B0/5612962#3
